Omega-3 & Sterblichkeit

Omega‑3‑Fettsäuren gelten seit Jahren als „herzgesund“. Doch was bedeutet das konkret für den Alltag? Und wie relevant ist Omega‑3 wirklich, wenn bereits eine Herz‑Kreislauf‑Erkrankung besteht?
Eine aktuelle Publikation in Scientific Reports liefert dazu spannende Antworten – und vor allem praxisnahe Hinweise, die du ohne Supplements, Extreme oder komplizierte Diäten umsetzen kannst.
Was genau wurde untersucht?
Die Studie analysierte Daten von mehreren tausend Menschen mit bereits diagnostizierten Herz‑Kreislauf‑Erkrankungen. Entscheidend dabei: Es ging nicht um hochdosierte Medikamente oder isolierte Omega‑3‑Supplemente, sondern um die Omega‑3‑Fettsäureaufnahme über ganz normale Lebensmittel.
Die Forschenden verknüpften Ernährungsdaten mit langfristigen Gesundheits‑ und Sterblichkeitsdaten. So ließ sich beobachten, wie sich unterschiedliche Mengen an Omega‑3 über Jahre hinweg auf das Risiko für Tod insgesamt und speziell für Herz‑Kreislauf‑Todesfälle auswirkten.
Das ist wichtig, weil genau das deinem Alltag entspricht: Du triffst keine medizinischen Extrementscheidungen, sondern isst jeden Tag – und diese Summe entscheidet.

Das zentrale Ergebnis in einfachen Worten
Menschen mit einer höheren Omega‑3‑Aufnahme über die Ernährung hatten ein signifikant niedrigeres Risiko, an Herz‑Kreislauf‑Erkrankungen zu sterben – selbst dann, wenn bereits eine Herzerkrankung vorlag.
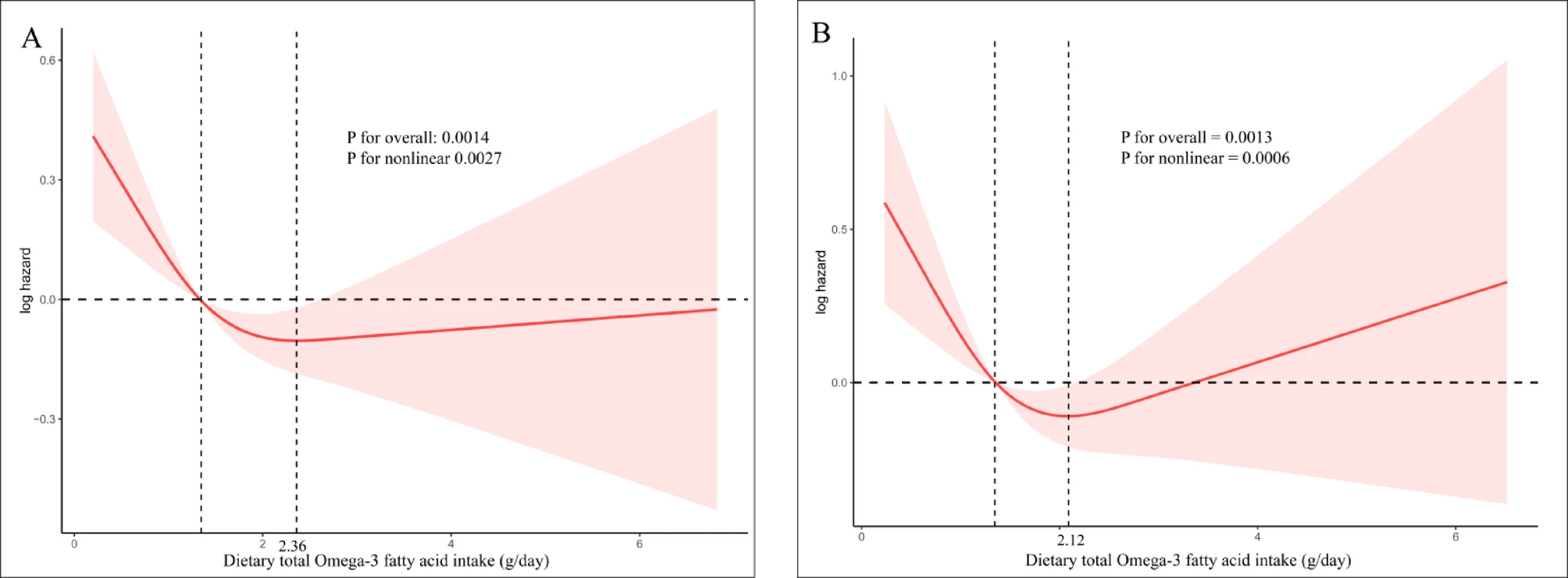
Besonders interessant: Der stärkste Zusammenhang zeigte sich nicht bei extrem hohen Mengen, sondern bei einer realistischen täglichen Zufuhr von rund 2 Gramm Omega‑3.
Das heißt:
Nicht „viel hilft viel“.
Sondern regelmäßig und ausreichend schlägt sporadisch und extrem.
Warum pflanzliches Omega‑3 (ALA) so relevant ist
Ein zentrales Detail der Studie wird oft übersehen: Der stärkste Zusammenhang mit einer geringeren Herz‑Kreislauf‑Sterblichkeit zeigte sich bei alpha‑Linolensäure (ALA) – also der Omega‑3‑Form aus pflanzlichen Quellen.
ALA kommt vor allem vor in:
Leinöl und Leinsamen, Chiasamen, Walnüsse sowie Rapsöl.
Für den Alltag ist das eine entscheidende Erkenntnis. Denn diese Lebensmittel lassen sich täglich, einfach und kostengünstig integrieren – ohne Fischzwang, ohne Kapseln.
Marine Omega-3-Fettsäuren wie EPA und DHA, die vor allem aus Fisch und Fischöl stammen, zeigten in dieser Analyse keinen signifikanten Zusammenhang mit einer geringeren Gesamt- oder Herz-Kreislauf-Sterblichkeit. Die Autoren führen dies vor allem auf die geringe und wenig variable Aufnahme in der untersuchten Bevölkerung zurück sowie darauf, dass EPA und DHA primär auf spezifische Zielgrößen wie Triglyceride oder Entzündungsmarker wirken.
Diese Effekte spiegeln sich nicht zwingend in der Gesamtsterblichkeit wider. Im Gegensatz dazu steht ALA für ein langfristiges Ernährungsmuster mit täglicher Zufuhr, was den klareren Zusammenhang mit der Sterblichkeit plausibel macht.
Was das für Menschen mit Herz‑Kreislauf‑Erkrankungen bedeutet
Viele Betroffene glauben, Ernährung spiele nur eine untergeordnete Rolle, sobald „das Problem schon da ist“. Die Daten sprechen eine andere Sprache.
Omega‑3 wirkt nicht wie ein Notfallmedikament, sondern wie ein langfristiger Modulator:
weniger entzündliche Prozesse, eine günstigere Blutfettverteilung und eine verbesserte Gefäßfunktion.
Das alles passiert langsam – aber genau deshalb ist es so mächtig.

Leinöl im Alltag: Warum Qualität alles entscheidet
Wenn es um pflanzliches Omega‑3 geht, steht Leinöl im Mittelpunkt. Doch hier trennt sich Nutzen von Schaden.
Günstige Leinöle aus dem Supermarkt sind häufig:
von schlechter Qualität, lange gelagert, licht‑ und wärmegeschädigt oder bereits oxidiert.
Oxidierte Omega‑3‑Fettsäuren liefern nicht den gewünschten Effekt – im Gegenteil, sie können entzündliche Prozesse sogar fördern.
Ideal ist frisch gepresstes Leinöl aus einer regionalen Ölmühle, mit bekanntem Pressdatum und durchgehender Kühlkette.
Wenn du keinen Zugang zu frisch gepresstem Leinöl hast, ist das optimierte Leinöl Lipid Legends eine sinnvolle Alternative. Durch einen erhöhten Antioxidantiengehalt und verbesserte Stabilität ist es deutlich weniger oxidationsanfällig als herkömmliche Produkte.
Wie du die Erkenntnisse konkret umsetzt
Du brauchst keinen radikalen Ernährungsplan. Diese drei Schritte reichen als Start:
Erstens: Plane täglich eine feste Omega‑3‑Quelle ein, zum Beispiel einen Esslöffel hochwertiges Leinöl.
Zweitens: Setze auf Regelmäßigkeit statt Perfektion. Eine moderate Menge jeden Tag ist wirksamer als eine perfekte Umsetzung einmal pro Woche.
Drittens: Erhitze Leinöl nicht. Es gehört über fertige Speisen und nicht in die Pfanne.
Fazit
Diese Studie zeigt eindrucksvoll: Ein einziges Fett kann dein langfristiges Herzrisiko messbar beeinflussen – nicht abrupt, sondern schleichend.
Omega‑3‑Fettsäuren aus der Ernährung sind kein Hype und kein Ersatz für medizinische Therapie. Aber sie sind ein stiller, konsequenter Hebel, den du jeden Tag selbst bedienen kannst.
Nicht irgendwann. Nicht extrem. Sondern heute und regelmäßig.
---
Du möchtest die Inhalte dieses Artikels vertiefen oder später noch einmal anhören?In unserem Podcast bereiten wir die wichtigsten Punkte verständlich und kompakt auf.
Quelle:
Zhang Y et al. Dietary omega‑3 fatty acid intake and mortality among adults with cardiovascular disease. Scientific Reports. 2025. https://www.nature.com/articles/s41598-025-21193-1
Lipid Magazin
weiter zu Magazin
Leinöl & Herzgesundheit

Omega-3-Öle: kurze Haltbarkeit



